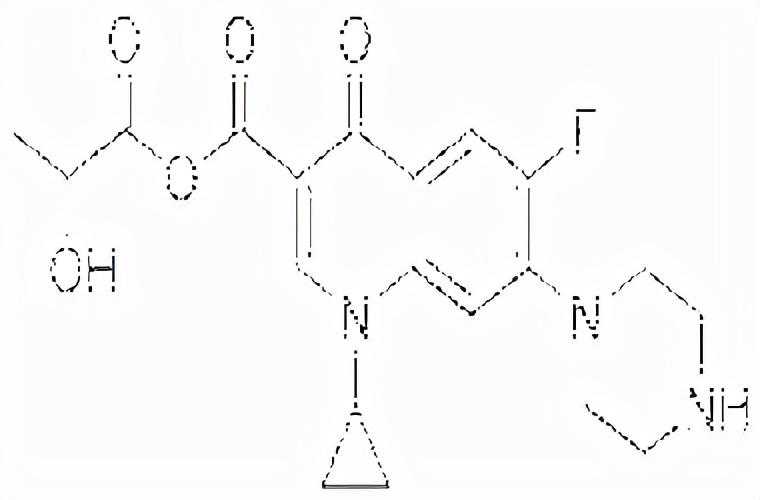
乳酸环丙沙星 | 97867-33-9 | 瑞威尔生物科技
发布于 2025-08-11
165
目录
