

一年一度的美国血液学会(ASH)年会是全球血液学领域规模最大、涵盖最全面的国际学术盛会之一。今年,第63届ASH年会于12月11日~14日在线下及线上召开。来自巴塞罗那大学血液科的Josep-MariaRibera教授团队的1篇研究入选今年ASH年会的壁报展示,小编将其主要内容整理如下,供广大读者参考。
研究背景
HyperCVAD联合普纳替尼治疗费城染色体阳性急性淋巴细胞白血病(Ph+ALL)成人患者具有较高的分子反应率和生存率,与第一代或第二代酪氨酸激酶抑制剂(TKI)联合化疗相比,患者结局有所改善(JabbourE,etal,;5:e618-e627)。西班牙PETHEMA小组进行了2期PONALFIL研究,该试验中与普纳替尼联合的化疗方案与ALLPh08研究中与伊马替尼联合的化疗方法相同(RiberaJM等,Cancer2019;125:2810-17)。现报告该试验的最终结果。
研究方法
PONALFIL研究(NCT02776605)采用普纳替尼(30mg/d)联合诱导化疗(长春新碱、柔红霉素、泼尼松),然后进行巩固治疗(大剂量甲氨蝶呤、大剂量ARA-C、巯嘌呤、依托泊苷)和异基因造血干细胞移植(alloHSCT)。alloHSCT后普纳替尼只用于MRD持续存在/再次出现的患者。
研究通过集中检测BCR-ABL1/ABL1分析了治疗反应,包括诱导后和alloHSCT前的完全形态学缓解(CR)和分子学反应(完全分子学缓解[CMR]或主要分子学缓解[MMR]),另外还评估了无病生存(DFS)、总生存(OS)和毒性。研究还进行了以下遗传学研究:1)附加基因异常(通过SNP阵列Affymetrix750K进行拷贝数改变[CNA]分析);2)诊断时ABL1突变状态(Sanger测序);3)诊断时T315I突变(等位基因特异性PCR)。研究结果与ALLPh08研究的结果进行了倾向性评分比较。
研究结果
中位年龄为49(19-59)岁,13/30例患者为女性。1例患者在诊断时出现中枢神经系统受累。90%的患者ECOG评分2。白细胞计数(WBC)中位数为6.4x109/L(0.6-359.3),血红蛋白(Hb)90g/L(63-145),血小板38x109/L(11-206)。26例为常见的免疫学表型,20例(67%)有p190isoform,9例(30%)为p210,1例(3%)为p230。
30/30例患者获得CR,14/30例(47%)获得CMR,5/30例(17%)获得MMR,11/30例(37%)没有分子学反应。2例患者在诱导期间退出了研究(中央视网膜动脉血栓和严重的肠道感染,各1例)。28例患者接受了巩固治疗,2例患者退出了研究(医生决定和缺乏分子学反应,各1例),26例患者接受了alloHSCT(20例CMR,6例MMR)。没有发现alloHSCT前复发的情况。1例患者死于严重的GVHD,2例患者退出了研究(IV级肝脏毒性和分子学复发后协议偏差,各1例)。1例患者在alloHSCT后BM复发。
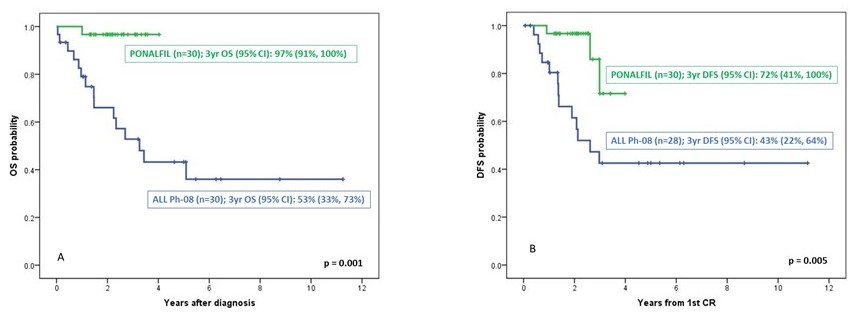
4/26例患者在alloHSCT后接受了普纳替尼治疗,1/26例患者因MRD再次出现而接受了达沙替尼治疗,1/26例患者在CMR状态下因拒绝接受中枢神经系统预防治疗而接受了达沙替尼治疗,而20/26例患者在alloHSCT后没有接受任何TKI治疗。29例患者存活(中位随访2.3年,范围1.3-4)。2年DFS率和OS率均为97%(91%-100%)。
在7/16例巩固治疗后未达到CMR但有基因检测的患者中,4例有IKZF1缺失(2例IKZF1plus),1例有CDKN2A/B和PAX5缺失,2例未显示任何CNA。在5/19例分子学复发患者中,3例有IKZF1缺失(1例为IKZF1+),2例未显示任何CNA。诊断时均未发现ABL1突变或T315I突变。
1:1匹配倾向性评分在每个队列中确定了30例患者(变量:年龄、性别、ECOG、WBC、CNS受累、细胞遗传风险和BCR/ABL蛋白水平)。PONALFIL和ALLPh08研究的2年DFS率分别为97%和62%(P=0.005),2年OS率分别为97%和66%(P=0.001)。
20例患者发生了107例不良事件(AE)(11例患者发生了21例严重不良事件),其中3例患者退出了研究(中央视网膜动脉血栓、严重肠道感染、IV级肝脏毒性)。最常见的AE是血液学(28%)、胃肠道(14%)、肝脏(11%)、感染(7%)和皮肤(5%)。2例患者发生了心血管事件(心绞痛和视网膜中央动脉血栓)。
研究结论
PONALFIL研究的结果表明,与伊马替尼相比,普纳替尼与相同的化疗方案联合更具优势,有较高的抗白血病疗效和可接受的毒性。