例:如图所示:

两根平行金属导轨固定在水平桌面上每根导轨每米的电阻为r₀=0.10Ω/m,导轨的端点P、Q用电阻可以忽略的导线相连,两导轨间的距离l=0.20m.有随时间变化的匀强磁场垂直于桌面已知磁感应强度B与时间t的关系为B=kt,比例系数k=0.020T/s.一电阻不计的金属杆可在导轨上无摩擦的滑动在滑动过程中保持与导轨垂直.在t=0时刻金属杆紧靠在P、Q端在外力作用下杆以恒定的加速度从静止开始向导轨的另一端滑动求在t=6.0s时金属杆所受的安培力.
解:用a表示金属杆的加速度在t时刻金属杆与初始位置的距离L=at²/2,此时杆的速度v=at,这时杆与导轨构成的回路的面积S=Ll,回路中的感应电动势

回路总电阻R=2Lr₀,回路感应电流I=E/R,作用于杆的作用力F=BIl,计算得出F=3k²l²t/2r₀,代入数据得F=1.44×10⁻³N。
根据杆以恒定的加速度从静止开始向导轨的另一端滑动运用运动学公式表示出金属杆与初始位置的距离和杆的速度,回路中的感应电动势既有动生还有感生而且是加强表示出回路中的感应电动势求出电流求出安培力。
☞在电磁感应现象中,有两类基本模型:

磁场不变单棒切割类,如图(a)所示;面积不变磁场变化类,如图(b)示,本题金属棒在向右运动过程中,一方面棒切割磁场,另一方面磁场改变,故原图可转换为图(a)与图(b)两类模型的叠加.考虑到切割与磁场增加产生的感应电动势方向一致,所以原回路的感应电动势可写成
总结:感生与动生共存时:先写出磁通量Φ与时间t的函数关系,后求出磁通量Φ对时间t的倒数。
例:如图所示,固定于水平面上的金属架CDEF处在竖直向下的匀强磁场中,金属棒MN沿框架以速度v向右做匀速运动t=0时,磁感应强度为B₀,此时MN到达的位置使MDEN构成一个边长为l的正方形.为使MN棒中不产生感应电流,从t=0开始,磁感应强度B应怎样随时间t变化?请推导出这种情况下B与t的关系式.
解法一(常规解法):由于电路中没有电流产生,回路中任意时刻磁通量变化率为零,回路任意时刻的磁通量都等于初始时刻的磁通量
即
可得
点评:作为第2节的题目,本解法不涉及电磁感应的本质感应电动势,而是利用“磁通量不变”来解题.从答题的角度来讲,我们已经很巧妙地解答出来了.
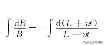
解法二(竞赛拓展):本题涉及的感生和动生同时存在的现象,处理如下:
(1)列出微分方程.本题的本质是感生电动势与动生电动势并存,解决时可考虑用通式E=dΦ/dt,其中有Φ=BS.由于B和S都变化,于是我们考虑偏微分:
具体可写为:
(2)积分运算.上式涉及变量B和t,需考虑分离变量。
两边积分有:
即
(3)不定积分的常量处理
代入初始值t=0时,B=B₀可得
例:如图所示,
一金属导线单位长度的电阻为ρ,折成等腰直角三角形,直角边长为a,在t=0时刻从图示位置开始以速度v匀速进入以B=B₀-kt规律变化的均匀磁场中,其中k为大于零的常数。当三角形的水平直角边进入一半时,求:
(1)导线内的动生电动势;
(2)导线内的感生电动势;
(3)导线内的电流强度。
例:如图所示,
两条相距l的光滑平行金属导轨位于同一水平面(纸面)内,其左端接一阻值为R的电阻;一与导轨垂直的金属棒置于两导轨上;在电阻、导轨和金属棒中间有一面积为S的区域,区域中存在垂直于纸面向里的均匀磁场,磁感应强度大小B₁随时间t的变化关系为B₁=kt,式中k为常量;在金属棒右侧还有一匀强磁场区域,区域左边界MN(虚线)与导轨垂直,磁场的磁感应强度大小为B₀,方向也垂直于纸面向里.某时刻,金属棒在一外加水平恒力的作用下从静止开始向右运动,在t₀时刻恰好以速度v₀越过MN,此后向右做匀速运动.金属棒与导轨始终相互垂直并接触良好,它们的电阻均忽略不计.求:
(1)在t=0到t=t₀时间间隔内,流过电阻的电荷量的绝对值;
(2)在时刻t(t>t₀)穿过回路的总磁通量和金属棒所受外加水平恒力的大小