反激→就是这样的过程,搞不懂的快来GET
对于开关电源而言,这个话题还是比较宽泛的。简简单单四个字开关电源,要掌握很多方面的理论知识,在结合实战经验,才能算是个开关电源方面的技术牛人。本文侧重点在开关电源的正激和反激的区分,我们就一起看看究竟在哪些方面有所不同!
1.电感
电感简单的说就是导电的螺旋线圈。电感种类比较多,有插脚的贴片的等等。如图1:图1L1是有芯电感L2是无芯电感的原理图画法,这里是讲解反激正激而电感种类只说到这里。

有芯电感L2是无芯电感的原理图画法
2.激励方式
1、电感特性:当电感里流入电流I时电感会在电流方向产生反向电动势如图2所标电感L1上端有个点那个点就是反向电动势产生的(只是个标志,不代表这个点就是正极或者负极)和流入电流方向相反。

电感的特性
图2这个是电感的特性。图中的一个蓝色的比较粗的竖1是磁芯的简化图。2、耦合特性:先看图片2看看能不能分辨出图A和图B有何不同之处。

电感的特性
图三,一眼便看出就是点不同。当图A里L1有电流I流入时自身产生上+下-感应电动势。同时在图AL2里也产生一个上+下-的电动势。当然这两个电感线圈必须在同一个磁芯(同一个磁路)上才可以的。在图B里的L2就产生一个方向相反的感应电动势。(在图中我们定义为L1是初级线圈,L2是次级线圈)。
那么这个感应电动势的同方向和反方向是怎样形成的?这个最简单了,这个是在生产变压器来决定的。和流入电流的电感在绕线时方向相同就可以在起始脚产生相同的电动势了。输出整流二极管决定的是正激和反激。如果你初级绕组是从变压器的一脚顺时针结束到二脚,次级绕组从三脚顺时针结束于四脚,如果你的输出整流二极管接在了变压器的3脚变压器的四角接地,,这个叫正激,如果你的输出二极管接在了变压器的4脚,变压器的三脚接地那么就是反激如下图四:A图是正激B图是反激……
开关电源之正激与反激,其实没那么难!开关电源之正激与反激有人说太难了,有人说还可以吧,那是你的思路没有缕清晰,导致大脑不能正常理解。下面小编为大家科普下正激式开关与反激式开关电源到底有什么区别。
话不多说,先上反激式和正激式的原理图先认识下他们:
反激式:

单端正激式:
双管正激式:
由上三张图可知,反激的变压器可以看作一个带变压功能的电感,是一个buck-boost电路。正激的变压其是只有变压功能,整体可以看成一个带变压器的buck电路。二次侧接第一个整流二极管的负端接电解电容的是反击,接电感的是正激。
总地来说,正激反激工作原理不同,正激是初级工作次级也工作,次级不工作有续流电感续流,一般是CCM模式。功率因数一般不高,而且输入输出和变比占空比成比例。反激是初级工作,次级不工作,两边独立开来,一般DCM模式下,理论上是单位功率因数,但是变压器的电感会比较小,而且需要加气隙,所以一般适合中小功率情况.一般的电源书都会有具体的介绍和设计公式。
正激变压器是理想的,不储能,但是由于励磁电感(Lp)是有限值,励磁电流使得磁芯B会大,为避免磁通饱和,变压需要辅助绕组进行磁通复位;反激变压器工作形式可以看做耦合电感;电感先储能,再放能。由于反激变压器的输入、输出电压极性相反,固当开关管断开之后,次级可以提供磁芯一个复位电压,因而反激变压器不需额外增加磁通复位绕组……
如何在反激式电源中开展应用与设计?如何在反激式电源中开展应用与设计?变压器有两种绕法:顺序绕法和夹层绕法。这两种绕法对EMI和漏感有不同的影响。顺序绕法一般漏感为电感量的5%左右,但由于初,次级只有一个接触面,耦合电容较小,所以EMI比较好。
夹层绕法一般漏感为电感量的1-3%左右,但由于初,次级只有两个接触面,耦合电容较大,所以EMI比较难过。一般30-40W以下,功率不大,漏感能量还可以接受,所以用顺序绕法比较多,40W以上,漏感的能量较大,一般只能用夹层绕法。
变压器的漏感主要与哪些因素有关
绕组顺序:夹层绕法一般是先初级,后次级的1/2-1/3.
变压器形状:长宽比越大的变压器漏感越小。
先初級1/2-次級-初級1/2,大家叫這為三明治繞法
夹层?好象是先原边的二分之一,再逼边,再原边的二分之一吧!
(1)变压器由于绕制造成的耦合电容偏差对变压器有那些指标有影响?
(2)如你所说,顺序绕法露感较大,耦合电容较小,EMI较好,怎样从理论上解释耦合电容小EMI小这一问题?当然我想你这是从变压器本身来说的,从整个电源来说,漏感较大的话,整个产品的EMI是不好的。所以我到认为,漏感的因素比耦合电容更能引起EMI难过,我这样说有道理吗?
(3)在提到屏蔽层时,我有点不明白屏蔽绕组在变压器中是怎样设计的?
耦合电容是最大的共模干扰传导途径。
漏感产生的干扰频率比较低,也容易处理
这个电容到底起到什么作用?
通常的隔离变换器中,在原边和副边需接一个或两个耐高压隔离电容,通常也很小,这个电容到底是起到什么作用呢?事实也是,如果这个电容取得不当,会影响到输出噪声指标?不知cmg老哥对这个电容怎么看?还有就是这个电容连接到原副边,是接两个地呢,还是接输入地端和输出正端。..?
并不是说不能用三名治饶,功率稍微大一点也只能用这个方法。否则漏感太大。
只是干扰大小的问题,当然在小功率的时候有更多的考虑,比如取消共摸电感,来降低成本。
我发现个有趣的问题,以前我也一直是认为更小的耦合电容对EMI有更多的好处。但我在最近的实验中发现当我把漏感控制在0.5%-0.8%时,整机电源的效率显著上升,再测传导和辐射发现原本辐射超过标准2个DB变成留有6.4DB余量。(说明:电源输出电压19V,功率75w.采用四段式绕法)
漏感小后,MOS关断时D-S端的震荡波形的幅度会减小,而这是最重要的干扰源,小了干扰能量会降低。
在反激式开关电源中,变压器相当于电感的作用。在开关管导通时,变压器储能,开关管关断时,变压器向次级释放能量。那么功率由开关管导通电流确定还是电感量确定……
反激占空比更大,效率会更高?首先反激电源一般设计占空比时,我们一般是小于0.5的,大家都知道如果超过0.5必须要增加斜坡补偿。那么开关电源在设计反激开关电源时,为何占空比都设计成0.45左右而不是更小?
听得最多的是,占空比越大电源效率会越高,所以大家都是这样来设计的,实际上也是个这样的趋势,为什么?从原理上怎么解释?从公式上又怎样看出?
我们一起来分析一下:以反激DCM模式为例。
首先开关电源中最影响效率的三个关键元器件为:
1、mos管
2、变压器
3、输出整流二极管
当然还有其他元器件,但这三个占比是比较大的。
mos管损耗分为:开通损耗、关断损耗、导通损耗、驱动损耗
(DCM状态下开通损耗是忽略不计的)
变压器损耗分为:铁损、铜损
整流二极管损耗分为:导通损耗、反向恢复损耗
跟这些损耗关系最大的参数就是电流:峰值电流、有效值电流。
我们如果能证明占空比越大峰值电流越小,有效值电流也越小的话,基本可以证实我们的标题:反激占空比越大效率越高。
先把公式摆出来:
1、根据能量守恒可得
其中Lp为原边绕组电感量,Ip为原边绕组峰值电流,P为电源功率,T为开关电源的工作周期。
2、电流,电感,电压,时间之间的关系
其中,Vin为输入电压,Ton一个周期开关管的导通时间,D为占空比,Lp为原边绕组电感量,f为开关频率,Ip为峰值电流。
3、把式三代入式一可得到
我们看下式四,其中输入电压Vin是固定的,开关频率f也是固定的,开关电源功率P也是不变的。
所以很容易看出占空比D设计越大时,计算出的原边电感量越大,反之D越小,计算出的原边电感量越小,我们把这个结论叫做结论一。
4、我们再回头把公式一变换一下得到公式五
从公式五可知,Lp越大时峰值电流Ip越小,反之Lp越小时峰值电流越大。再结合结论一可知,占空比D越大峰值电流Ip越小,占空比D越小峰值电流Ip越大,我们把这个结论叫做结论二。
我们再看下反激DCM下的有效值电流
1、反激DCM的有效值电流公式为:
其中Iprms为原边电感有效值电流,Ip为原边电感峰值电流,D为占空比。
由于峰值电流IP和占空比D是成反比的,所以单从公式六还是无法得出有效值电流Iprms和占空比D的关系,我们需要根据其他公式把Ip消除才好证明。
我们可以把公式三以及公式四代入公式六可得到:
我们看下公式七,P是固定的,Vin是固定的,所以可以得出一个结论三:占空比越大时有效值电流越小,反之占空比越小时有效值电流越大……
一文教你如何从变压器入手提高反激效率变压器是影响反激式开关电源效率的主要器件之一,包括磁芯损耗和绕组损耗。本篇文章通过分析变压器损耗分布和变压器电气参数对变换器损耗的影响,给出了提高反激电源效率建议及实验案例。
1.磁芯损耗分析
反激变换器的简化分析模型如图1所示:Q1导通时,D1截止,变压器存储能量;Q1截止时,D1导通,变压器释放能量。
图1反激变换器简化分析模型
图2反激变压器磁化曲线
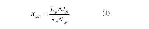
反激变压器的磁化曲线如图2所示,可见变压器工作在第一象限,由电磁感应定理可知:
备注:Bm须小于磁芯材料的限制值Bs,防止变压器饱和损坏Q1。
磁芯损耗与材料材质、开关频率fs,交流磁通密度Bac、工作温度等因素有关。变压器设计时,通常查图表获得单位磁芯损耗Pcv(如图3所示),进而估算整个磁芯损耗:
图3Pcv特性曲线(TDKPC95磁芯材料)
备注:对于反激变压器,查询Pcv图表时,Bm为Bac的一半。
由(4)式可知,降低磁芯损耗的常用措施有:
选用单位磁芯损耗Pcv较小的磁芯材料,如PC95;
传输相同功率的情况下,选用Ve较小的磁芯,如增大磁芯Ae值。
2.绕组损耗分析
变压器绕组损耗简化分析模型如图4所示,通过分段线性化分析可知,反激变压器本质是一个带匝比的电感器,磁化时通过初级绕组储存能量,去磁时通过次级绕组释放能量……
浅析全桥反激五大经典结构的特点和区别我们可以根据设计的需要来对选择不同的拓扑电路来完成设计项目,使产品更加完美。但是对于新手来说,想要一开始就辨认出各种拓扑电路并且熟悉其优缺点是比较困难的,所以本篇文章就特意为大家将半桥、全桥、反激、正激等拓扑电路的区别和特点进行了总计,希望大家能从中有所收获。
1单端正激式
单端——通过一只开关器件单向驱动脉冲变压器。
正激——脉冲变压器的原/付边相位关系,确保在开关管导通,驱动脉冲变压器原边时,变压器付边同时对负载供电。
该电路的最大问题是:开关管T交替工作于通/断两种状态,当开关管关断时,脉冲变压器处于“空载”状态,其中储存的磁能将被积累到下一个周期,直至电感器饱和,使开关器件烧毁。图中的D3与N3构成的磁通复位电路,提供了泄放多余磁能的渠道。
2单端反激式
反激式电路与正激式电路相反,脉冲变压器的原/付边相位关系,确保当开关管导通,驱动脉冲变压器原边时,变压器付边不对负载供电,即原/付边交错通断。脉冲变压器磁能被积累的问题容易解决,但是,由于变压器存在漏感,将在原边形成电压尖峰,可能击穿开关器件,需要设置电压钳位电路予以保护D3、N3构成的回路。从电路原理图上看,反激式与正激式很相象,表面上只是变压器同名端的区别,但电路的工作方式不同,D3、N3的作用也不同。
3推挽(变压器中心抽头)式
这种电路结构的特点是:对称性结构,脉冲变压器原边是两个对称线圈,两只开关管接成对称关系,轮流通断,工作过程类似于线性放大电路中的乙类推挽功率放大器。
主要优点:高频变压器磁芯利用率高(与单端电路相比)、电源电压利用率高(与后面要叙述的半桥电路相比)、输出功率大、两管基极均为低电平,驱动电路简单。
主要缺点:变压器绕组利用率低、对开关管的耐压要求比较高(至少是电源电压的两倍)。
4全桥式
这种电路结构的特点是:由四只相同的开关管接成电桥结构驱动脉冲变压器原边。
图中T1、T4为一对,由同一组信号驱动,同时导通/关端;T2、T3为另一对,由另一组信号驱动,同时导通/关端。两对开关管轮流通/断,在变压器原边线圈中形成正/负交变的脉冲电流。
主要优点:与推挽结构相比,原边绕组减少了一半,开关管耐压降低一半。
主要缺点:使用的开关管数量多,且要求参数一致性好,驱动电路复杂,实现同步比较困难。这种电路结构通常使用在1KW以上超大功率开关电源电路中。
5半桥式
电路的结构类似于全桥式,只是把其中的两只开关管(T3、T4)换成了两只等值大电容C1、C2……
更多精彩内容→→
想快速学EMC,以下六篇文章足矣,建议收藏
身为电源工程师,LDO必须学精学透
读对反激设计文章,技术难点轻松搞定
移相全桥/环路设计其实并不难,牢固基础理论才是硬道理
推荐阅读
-
损失近2070万美元!防不胜防?Popsicle Finance被攻击事件全解析
8月4日,链必安-区块链安全态势感知平台(Beosin-EagleEye)舆情监测显示,跨链收益率提升平台PopsicleFinance下SorbettoFragola产品遭到攻击,导致了约2070万美元的损失,攻击者共获利2.6KWETH,5.4MUSDC,5MUSDT,160KDAI,10KUN...
-
中铁五局/得物/韶音科技/深信服2024届秋招开启#秋招
八月十五日,我为大家整理了二四届秋招的最新信息。招聘公司包括中铁五局、韶音科技、深信服、得物、莉莉丝游戏、信锐技术、杉数科技、联合飞机、唯捷创芯、劲牌、京东、星宇、中置咨询。华为终端bg招聘赢网络科技、华域汽车布科股份融资日新、美亚光电、金虎汽车。中铁五局招聘优沃的薪资待遇,招聘专业包括土木类、土木...
-
新洁能:总经理、非独立董事辞职,新任总经理、副总经理及董事候选人上任
金融界3月27日消息,新洁能公告称,公司董事会近日收到董事长朱袁正先生的辞职申请,朱袁正先生因退休原因申请辞去公司总经理职务,辞职后仍继续担任公司董事长和董事会专门委员会相关职务。同时,公司董事会也收到董事王文荣先生、宋延延女士的辞职申请,两位董事因个人原因申请辞去公司董事职务,辞职后不再担任公司其...
-
MOS管的通断过程你都理解透了吗?
MOS管作为开关元件,同样可以工作在截止和导通状态,由于MOS管是电压控制元件,所以主要由栅极和源极间的电压来决定导通与否。Vgs用来控制沟道的导电性’从而控制漏极电流ID。(原理类似电流控制元件三极管)。关于MOS管的基本原理和结构本文不再赘述,大家自行百度。以N沟道MOS管为例,Vt是其导通为阀...