电容、电感的特性,你都知道吗?

各位同学大家好,欢迎继续做客电子工程学习圈,今天我们继续来讲这本书,硬件系统工程师宝典。

上篇我们说到做电阻选型时要考虑阻值、功率、精度和封装大小。上下拉电阻除了给引脚一个稳定的电平,可以提高电压准位、增加输出功率以及满足阻抗匹配的要求。今天来看看电容和电感都有什么特性。

电容特性分析

电路设计中常用的电容种类有铝电解电容、钽电容、陶瓷电容、OSCON固态电容和薄膜电容。其中,薄膜电容具有较小的公差、较高的容量、较高的稳定性和极低的压电效应,是X、Y安全电容的首选。铝电解电容、钽电容和OSCON固态电容是极性电容,使用时要注意正负极,陶瓷电容是非极性电容。常用的电容种类如下图所示:


常用电容种类

铝电解电容

铝电解电容的特点是容量大,但是漏电大、误差大、稳定性差,常用于交流旁路滤波、低频滤波电路。有正负之分,使用时不能接反,容值范围0.1~22000uF。

铝电解电容的耐压是在规定工作温度范围内,电容可长期可靠工作时的最大直流电压。如果是工作在交流状态,那么交流电压的最大值不能超过电容的耐压值。在滤波电路中,电容的耐压值不要小于交流有效值的1.42倍。

铝电解电容由于内部采用液态电解液,在产品使用过程中,内部电解液会逐渐干涸,电容的标称容量会慢慢变小,导致滤波效果大大缩水。电解液也导致铝电解电容温度特性也不好。因此不能应用在环境苛刻、设备寿命长的设计中。

钽电容

钽电容其实也是电解电容的一种,区别是钽电容使用钽作为介质,固态钽由于性能优良,工作温度范围宽。因此,钽电容适合在高温下工作,高频滤波性能好,体积小容值大,在高速PCB的电源设计中得到了广泛的应用,容值范围2.2~560uF。

钽电容使用时的正负极要连接正确,反接会导致电容发热损坏。钽电容的耐电压能力和耐电能力较弱,在使用时,钽电容的工作电压要降额至少50%,若钽电容后所接的是感性负载、瞬态工作电流很大的情况下,钽电容的工作电压要降额至少70%。

陶瓷电容

陶瓷电容以陶瓷作为电介质,具有尺寸小、低ESR、低成本和高纹波电流能力等优点,常用的陶瓷电容容值范围0.5pF~100uF。陶瓷电容在电源完整性的去耦中得到了广泛应用。

OSCON固态电容

OSCON是三洋公司生产的一种性能较好的电解电容,可以做到小型化、大容量及等效串联电阻小、使用寿命长的特点,适用作转换电流平滑电容器和清除各种噪声的电容器。

总结

综上所述可知,铝电解电容容量大、额定电压高,但适应工作温度环境较差,适用于低频滤波场合;钽电容具有较好的温度特性,具有较小的ESR和ESL,高频滤波特性较好,但承受冲击电压和冲击电流的能力不行,一般设计要降额50%以上使用;陶瓷电容具有体积小、价格低和稳定性好的优点,广泛应用于电源的高频滤波中,但是容值较小。

电感特性分析

电感会抵制电流的变化,主要作用是滤除高频谐波,通直流、阻交流;保持器件工作电流的稳定。比如主芯片各端口的逻辑状态高速切换产生的高频噪声可用LC低通滤电路滤除,再如电源部分会有大幅度的电流变化,采用电感可阻碍电流的变化,保证电源输出端输出稳定的电流。

电感根据使用场合可分为电源电感、低频信号电感和高频信号电感。电感选型时还需要考虑电感值、直流电阻、额定电流和谐振频率。如下为电源类电感封装,一般比较大:

电源类电感用的封装

电感在焊接时一般有温度要求,如下图所示。人工焊接时,一般要求烙铁头温度在350℃以下,焊接在3s内完成。

电感机贴时的升温时间要求

下面来看看电感选型时需要考虑的参数

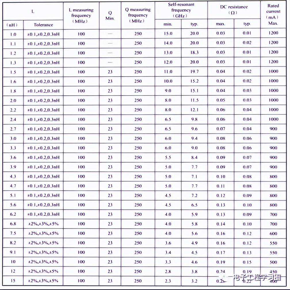
TDK高频滤波电感的选型及参数列表

从上表中从左到右分别是电感的感值(nH)及精度范围(Tolerance)(测试感值时的频率,上表中为100MHz),Q值最小值(Qmin)、Q值测试时的频率、自谐振频率出现时的最小频率、电感直流电阻的最大值和典型值、额定电流,根据这些参数可以确定此类电感是否满足设计需求。

在选型中可以看出,一般电感值越大,对应的直流电阻越大,对应的谐振频率越小,对应的额定电流越小。

电感值随频率变化的关系

如上图所示,随频率上升,电感值开始基本不变,直到频率超过谐振频率,电感会迅速变大。当然电感值不会无限增加,增大到一定程度又会减小。

Q值随频率变化的关系

如上图所示,随着频率上升,Q值会先增大后迅速下降。因此,在对高频信号进行电感选型时,应选择谐振频点高于工作频点的电感,如果谐振频点低于工作频率,会给系统信号带来很大的噪声干扰。同理,LC低通滤波电路设计时,也要错开噪声频点与电感的自谐振频点。

另外,整理了一些电子工程类的资料,分享给大家,目前有模拟电路、单片机、C语言、PCB设计、电源相关、FPGA、EMC、物联网、Linux相关学习资料,还有针对大学生的资料包,后续还会有更多资料分享给大家,助力大家学习,成就梦想~



发布于 2024-11-08
13
目录

    推荐阅读