圆片级封装用玻璃通孔晶片的减薄工艺
杨静,韩焕鹏,杨洪星,王雄龙,张伟才
(中国电子科技集团公司第四十六研究所)
摘要:
对圆片级封装用玻璃通孔(TGV)晶片的减薄加工工艺进行了研究并最终确定出工艺路线。该减薄加工工艺主要包括机械研磨及化学机械抛光(CMP)过程。通过机械研磨,玻璃通孔晶片的残余玻璃层及硅层得到有效去除,整个晶片的平整度显著提高,用平面度测量仪测试该晶片研磨后的翘曲度与总厚度变化(TTV)值分别为7.149μm与3.706μm。CMP过程使得TGV晶片的表面粗糙度大幅度降低,经白光干涉仪测试抛光后TGV晶片的表面粗糙度为4.275nm。通过该减薄工艺加工的TGV晶片能够较好满足圆片级封装时的气密性要求。
0引言
目前,玻璃通孔(throughglassvia,TGA)晶片应用非常广泛,其中玻璃主要指Pyrex7740下文简称玻璃),其热膨胀系数与硅较为接近,适合与硅片进行阳极键合,并填充硅孔。TGV晶片在微系统制造和封装中发挥着重要作用,如一些微器件的制作中,TGV晶片可以有效实现电隔离、提高器件的灵敏度。本文所讨论的TGV晶片主要用于圆片封装,以期达到预期的气密性要求。此种TGV晶片在前期制作中将带有特定腔体结构的硅片与玻璃进行阳极键合,然后在高温下使玻璃发生回流,并填充至硅片的既有腔体结构中,该过程中由于不同位置处玻璃流速不同,冷却至室温时,硅片表面的玻璃分布亦不同,造成TGV晶片表面粗糙不平、厚度不均。封装时,一方面要求TGV晶片表面填充满玻璃的硅腔体结构露出,另一方面要求TGV晶片与结构硅片进行阳极键合,故TGV晶片的平整度及表面粗糙度均应达到要求。综上所述,该种TGV晶片需要进行减薄及平坦化加工才能达到使用要求。
目前,关于硅-玻璃阳极键合的研究报道较多,但关于硅-玻璃键合后的减薄工艺研究相对较少,焦点也多集中在硅-玻璃键合后硅片层的减薄,键合后玻璃层与硅层的同时减薄加工的研究较少。硅-玻璃键合后进行减薄加工的主要难点在于玻璃与硅两种材料的硬度及化学性质均不同,在相同的机械减薄及化学减薄过程中两种材料表现出不同的加工结果。故而TGV晶片的减薄加工需综合考虑两种材料的加工特点。基于上述讨论,本文从实际应用角度出发,探索了TGV晶片的减薄加工工艺,并对加工后的TGV晶片的表面粗糙度及表面平整度进行了表征。
1减薄工艺路径探索
实验样品为TGV晶片,直径为100mm,硅层与玻璃层的厚度均为500μm,图1为TGV晶片截面示意图,图2为其减薄前的实物图。由于TGV晶片厚度不均,本文首先用千分表测试多点厚度,晶片厚度变化范围为970~1050μm。对于此种TGV晶片减薄加工的整体思路是机械减薄与化学减薄相结合。快速去除多余物质、露出硅腔结构的同时保证高的平整度及低的表面粗糙度。


1.1机械减薄
根据硅片加工经验,机械减薄主要包括磨削及研磨。本文分别对上述两种机械减薄方式进行了研究。
1.1.1机械磨削
表1为磨削条件及相关磨削结果。采用如表1所示条件对TGV晶片进行磨削。由表1可知,采用不同条件进行磨削时,TGV晶片表面均未露出预期的腔体图形。这可能与两种材料的硬度不同有关,玻璃的努氏硬度为418kg/mm2,而硅的努氏硬度为850kg/mm2,磨削用金刚石砂轮的努氏硬度为7000~8000kg/mm2。采用粒径较大的砂轮(型号为600#)进行磨削时,由于撞击力较大而使晶片破碎;采用粒径稍小的砂轮(型号为1200#和3000#)进行磨削时,砂轮的磨粒与晶片间的贴合较紧密,粒径的减小使磨削力减小,砂轮高速旋转磨削产生的热量不能被及时排出致使温度迅速升高,玻璃在高温下变软、变黏,将砂轮“糊住”,砂轮的磨削性能进一步降低,如此恶性循环导致晶片表面出现不同程度的“焦片”现象,故磨削不适合TGV晶片的机械加工。

1.1.2机械研磨
分多步对TGV晶片进行研磨。将氧化铝、水和助磨剂按一定比例混合配制研磨剂,所用氧化铝粒径约为8.5μm,初始压力约为61g/cm2。每步研磨结束后用千分表进行厚度监测,并目测上表面玻璃层及下表面硅层的去除情况,待玻璃层即将完全去除时,适当降低研磨压力及底盘转速。待硅片正、背表面均露出填满玻璃的硅腔结构时,结束研磨过程。加工中TGV晶片的表面如图3和图4所示。由图4可知,在研磨初始阶段,晶片表面中心部位的硅腔结构最先露出,呈现出“矩形”与“圆环形”两种。随着研磨时间(t)的增加,填充有玻璃的硅腔结构相继露出,表现为研磨每增加10min,就多露出外围约一周的腔体结构。由于机械研磨本身为纯机械的平坦化加工,且玻璃的硬度小于硅,此时可认为该表面两种材料去除速率接近。越靠近外侧的硅腔结构露出越晚,表明外侧硅腔深度较小。硅腔深度的分布呈现出从晶片中心到边缘依次减小的规律,该规律对前道的干法刻蚀工艺有一定指导意义。
为便于后续加工及测试,使用标准SC1#液对研磨后的TGV晶片进行清洗,时间约10s。采用平面度测量仪测试TGV晶片的几何参数,结果如图5所示,TGV晶片的翘曲度与总厚度变化(TTV)值分别为7.149μm与3.706μm,表明经过研磨的TGV晶片正、背表面虽都存在填充有玻璃的硅腔结构,但晶片表面较为平坦,玻璃与硅没有明显的高度差,故此种研磨工艺适合TGV晶片的加工。
1.2化学机械抛光
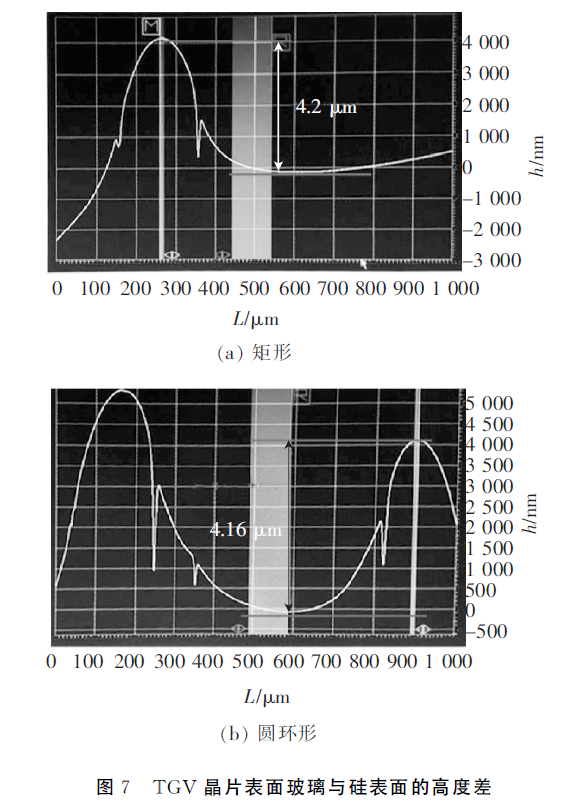
由于玻璃与硅的化学性质不同,在同种化学试剂中腐蚀时两者去除速率不一致,且反应速度难以控制,故本文采用化学机械抛光(CMP)技术而非单纯的化学减薄方法对TGV晶片进行进一步的加工。抛光分粗抛与精抛过程,均在兰州瑞德公司生产的X62-815型抛光机上进行,压力为0.1MPa,转速为40r/min,抛光液选用含有SiO2胶粒的商用抛光液,抛光液流量设置为2.38mL/s。粗抛后的晶片表面如图6所示。
从图6中可以看出,TGV晶片表面呈现出光亮的“镜面”。用台阶仪分别测试“矩形”及“圆环”状玻璃与硅表面的高度差,结果如图7所示,图7中L为测试距离,h为高度差。由图7可以看出,两者高度差值约为4.2μm,这主要是因为所用抛光液呈弱碱性,在机械摩擦去除速率接近的情况下,化学腐蚀硅的速率大于玻璃,最终导致高度差的出现。为消除玻璃与硅的高度差,需加强玻璃的化学腐蚀作用。为摸索合适的腐蚀工艺,本文将粗抛后的TGV晶片分别放置在不同配比、不同温度的HF酸水溶液中进行腐蚀,最后发现TGV晶片在常温下的HF酸水溶液(VHF∶VH2O=1∶2)中进行腐蚀4min后可消除粗抛后的高度差,接着再进行精抛光。用白光干涉仪测试精抛后TGV晶片的表面粗糙度,得到如图8所示结果,由图可知该TGV晶片的表面粗糙度为4.275nm。
2结果分析
2.1TGV晶片表面显微分析
在显微镜下观察TGV晶片表面的硅腔结构,如图9所示。由图可知,矩形与圆环形玻璃的宽度均为200μm,表面玻璃没有因化学腐蚀作用或机械碰撞作用而发生破损,这有利于保证封装时的气密性。故从该角度讲,本文的减薄加工工艺适合此种TGV晶片的加工。
2.2TGV晶片断面腔体深度分析
由图4可知,TGV晶片边缘处圆环形玻璃腔体的深度最小。用数字式影像测量机测其断面(图10)可知,该腔体深度约为229μm,与晶片最终加工厚度一致。经客户反应,将该种TGV晶片用于圆片封装时,能够较好满足气密性封装的要求。故本文提出的减薄加工工艺适合圆片封装用TGV晶片的加工。
3结论
本文主要研究了TGV晶片的减薄加工工艺。在机械减薄过程中,分别探索了磨削与研磨两种加工方式的可行性。研究结果表明,机械磨削不适合同时具有玻璃与硅两种材质的TGV晶片的加工,而采用机械研磨技术可快速将TGV晶片表面玻璃层及硅层去除、实现硅腔结构露出的同时保证平整度;为降低表面粗糙度,采用化学机械抛光技术对TGV晶片进行再次减薄加工,抛光结束后TGV表面呈现出光亮的“镜面”,粗糙度大大降低。用该TGV晶片进行圆片级封装实验,较好地满足了气密性要求。