Hi我是“余生死磕电源,致力于成为电源大师”的“电源先生”。
------------------------------------------------
1.简介
前文[BUCK电路输入纹波电压有哪些组成部分?]分析了BUCK电路输入端的纹波电压(简称“输入纹波电压”,InputRippleVoltage)由三个部分组成,即
(1)“输入电容ESL纹波电压”或“输入端感性纹波电压”
(2)“输入电容ESR纹波电压”或“输入端阻性纹波电压”
(3)“输入电容CIN纹波电压”或“输入端容性纹波电压”

BUCK电路的“输入纹波电压”
本文,我们分析“输入电容ESL纹波电压”公式及其推导过程。参考上图,其中VESL就是“输入电容ESL纹波电压”的波形。问题是,为什么VESL只在TON和TOFF交叉的地方有纹波电压?读完本文,便可知晓。
2.“输入电容ESL纹波电压”公式推导
我们知道,变化的电流通过电感时,会产生感应电压,且该电感感应电压大小可以表示为
这就是电感公式。
所以,输入电容ESL导致的纹波电压分量可以表示为
由“3.3.10.1输入电容的瞬时电流”章节的输入电容瞬时电流波形可知,输入电容ESL引起的纹波电压分量仅发生在“TOFF切换到TON”过程中(这段时间表示为t_r)和“TON切换到TOFF”过程中(这段时间表示为t_f),在TON期间或TOFF期间,由于电流没有变化(确切地说,是电流没有突变),所以就没有ESL纹波电压分量。
降压电路输入电容上的瞬时电流波形
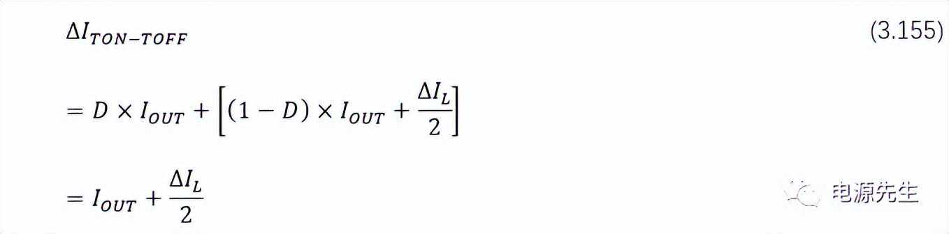
参考上图容易知道,从“TOFF切换到TON”(切换时间为t_r),电流的变化量为
从“TON切换到TOFF”(切换时间为t_f),电流的变化量为
综合上述公式(3.153)-(3.155)可知,输入电容ESL纹波电压分量为
其中,I_OUT-(∆I_L)/2就是电感电流最小值,I_OUT+(∆I_L)/2就是电感电流最大值。该公式与资料中公式[1][2]中ESL纹波电压表达式是一致的。
注:复制黏贴,后台回复AVNETInputCapacitorConsiderations获取PDF版本下载链接。
------------------------------------------------
------------------------------------------------
如果不考虑纹波电流分量,“TOFF切换到TON”和“TON切换到TOFF”两个阶段的电流变化量都是I_OUT,再假设两个阶段电流上升时间和下降时间都相同且表示为t_(r-f),那么输入电容ESL纹波电压分量还可以表示为
3.小结
可见,输入电容ESL纹波电压分量公式(3.156),与电感“感应电压公式”本质上是相同的;这就是“感应电压公式”这个“宗”对应的“万变”之一。
这里需要说明的是,由于输入电容ESL纹波电压分量较小而通常在工程计算中被忽略。
为什么VESL只在TON和TOFF交叉的地方有纹波电压?
答案非常简单,因为V=L×∆I/∆T,电感电压与其上电流变化率成正比关系,电流变化率越大,电压也越大;输入电容上的电流,在“TOFF切换到TON”和“TON切换到TOFF”这两个瞬间的电流变化率最大,由此引起的电压也越大。